Set 2

Problem 1

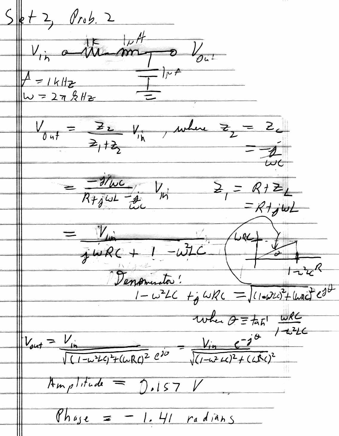
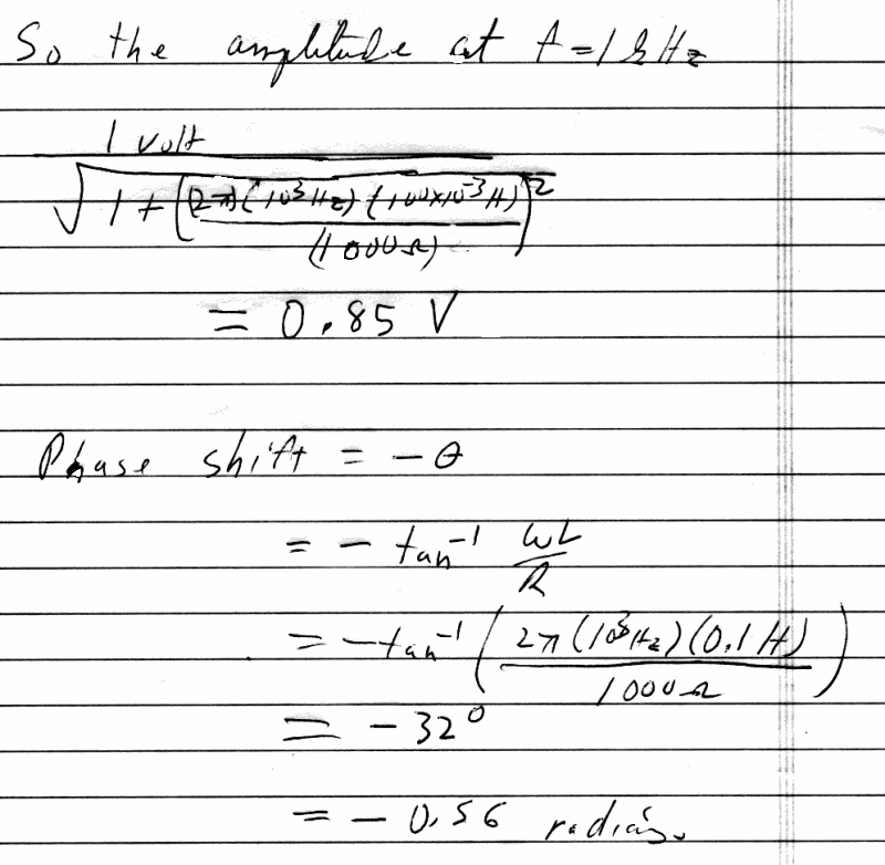
Problem 2


Homework page